ACO (Automobile Club de l’Ouest) je avtomobilski klub, ki deluje deluje že več kot sto let in organizira dirke v La Mansu. Poudariti je treba, da je vsebinsko ozadje te organizacije ideja o varni vožnji, predstavitev idej članov vladnim organizacijam, razvoj znanja in prakse za varno uporabo vozil, krepitev povezav med člani organizacije in zagovarjanje interesov udeležencev v cestnem prometu ter organizacija športnih tekmovanj, ki so posredno ali neposredno povezana z avtomobili ali motorji.
Prva udeležba dieselskih vozil v najvišji kategoriji je sprva organizatorje ‘presenetila’, saj je bil prvi ukrep za izenačitev bencinskega in dieselskega motorja samo ta, da so pri bencinskem motorju dovolili povečanje premera zaslonke za omejitev pretoka zraka na sesalni strani le za 3 odstotke. To je pomenilo, da se je moč bencinskega motorja povečala s približno 470 na 485 kilovatov, kar velja za dirko, medtem ko so nekateri dosegali tudi 496 kilovatov v kvalifikacijah. V nasprotju s tem se verjame, da sta imela Audi in Peugeot več kot 530 kilovatov. Seveda je treba, ko govorimo o moči, takoj spomniti, da se pri dirkalnih avtomobilih uradno nikoli ali pa šele čez leta izve za dejansko moč. Za pravo moč ve samo izdelovalec motorja, za moč na dirkališču pa še konkurenca, ki ji s sodobnimi pripomočki ni težko ugotoviti, kaj se skriva pod pokrovom nasprotnikov.
Moč motorja (P) je funkcija srednjega tlaka (pe), prostornine (V) in vrtilne hitrosti (n). Ker pa gre za dirkalni avto, je pomembna največja moč pri določeni vrtilni hitrosti, ki je funkcija specifičnega pretoka zraka (mz) na cikel, toplotnega izkoristka motorja (ht), toplotne vrednosti goriva (Hi) in razmerja zraka ter goriva (l) oziroma AFR – razmerje med gorivom in zrakom.
Specifični pretok zraka je funkcija števila zaslonk, ki omejujejo pretok zraka (z), premera zaslonke (d), vrtilne hitrosti (n), prostorninskega razmerja (e), razmerja specifičnih toplot (c) in celotne prostornine motorja (Vm), kar lahko zapišemo tudi v obliki:
in
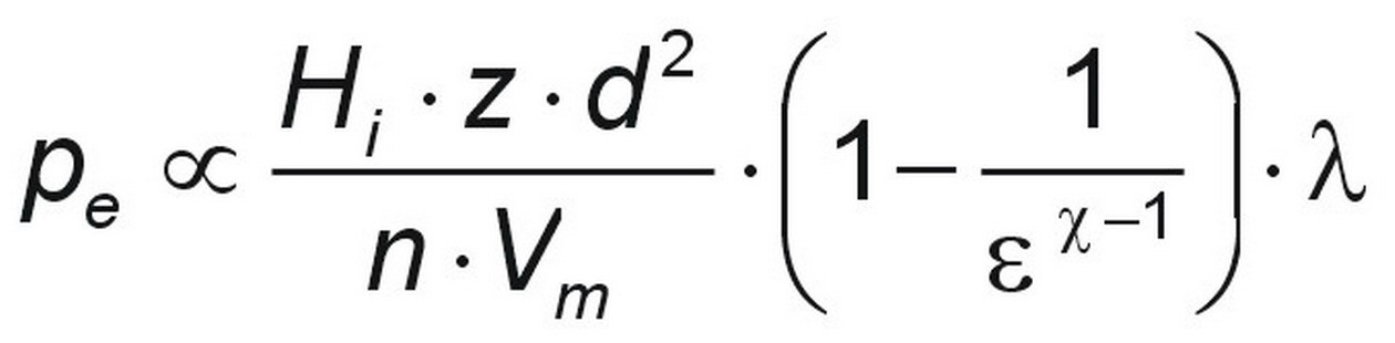
Iz tega izhaja, da je srednji tlak proporcionalen z:
Nadalje lahko povežemo še moč, ki je odvisna od:
Toplotna moč dizelskega goriva je približno za 5 odstotkov višja od te vrednosti pri bencinu. Razmerje zraka in goriva je pri dizelskem motorju v primeru še znosnega dimljenja najmanj 18:1, pri bencinskem motorju pa 12:1. Prostorninsko razmerje pri dizelskem motorju je ocenjeno na približno 19:1, medtem ko je pri bencinskem ocenjeno na okoli 12:1. Predpostavimo, da sta bila premera zaslonk za omejitev pretoka zraka v začetnih letih pri dizelskem motorju 39,9 milimetra, s čimer je bil celotni prerez okoli 2.500 kvadratnih milimetrov, pri bencinskem motorju pa je bil premer 32,4 milimetra, kar omogoča celotni prerez približno 1.700 mm2. Iz teh podatkov se lahko določi razmerje moči med obema motorjema:
Izračun razmerja moči kaže, da so organizatorji nehote poenostavljeno primerjali oba motorja med seboj, kar so seveda izkoristili izdelovalci in na ta način dokazovali premoč dizelskega motorja, ko so mu omogočili za približno 13 % večjo moč. Za približno izenačitev moči bi bil pravi premer zaslonke pri diesel motorju 37,5 milimetrov in ne 39,9 milimetrov. Ko so na začetku pripravili pravila, so preprosto predpostavili za 50 odstotkov nižjo vrednost razmerja goriva in zraka oziroma revnejšo zmes in tako ocenili premer zaslonke, toda pozabili so upoštevati višjo toplotno vrednost dieselskega goriva in približno za 10 odstotkov višji toplotni izkoristek, ki ga ima dizelski motor.
Glede na začetne izkušnje sedanja pravila omogočajo enakopravnost med bencinskim in dizelskim motorjem in tudi med vozili, ki imajo različno najnižjo dovoljeno težo. Poleg tega so se še zgledovali po pravilih, ki veljajo v formuli 1 in jih priredili za potrebe prototipov kot tudi glede izkoriščanje kinetične energije vozila.
Primer jasno kaže, da se zgodi razkorak med prakso in teorijo tudi najboljšim, kar sicer v osnovi niti ni katastrofalno, v tem primeru pa je bila posledica ta, da je dobila (zavedena) javnost nehote občutek, da je dizelski motor na dirkah (lahko) boljši od bencinskega.
Aci Bizjan













